








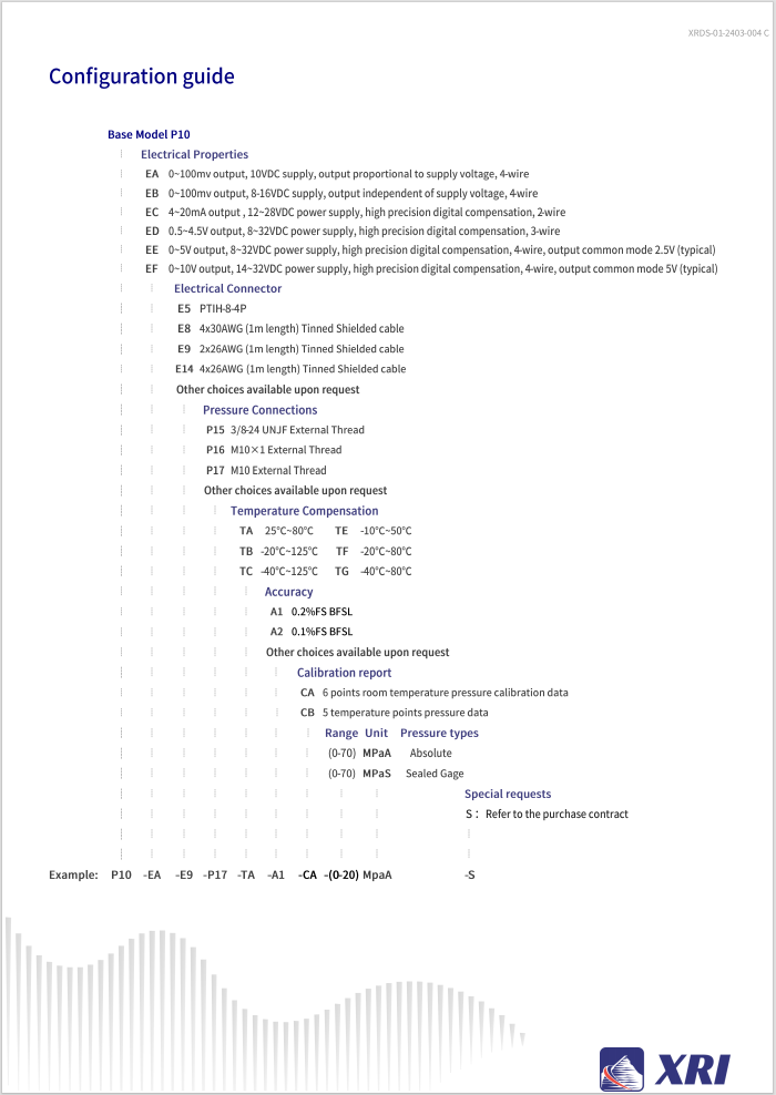
P10
XRI's P10 series pressure transducer is a small, multi-function, high-precision pressure sensor, utilizing advanced micro-machined silicon MEMS technology, unique oil-filled sensing capsule, robust EMI and EMD anti-interference design, and stainless steel internal and external parts. All make P10 a pressure sensor with high precision, high reliability, and suitable for a variety of measurement applications. It's small, with selectable pressure range, and with strong over pressure protection capability. The sensor can provide a variety of different electrical output methods. Currently this series offers absolute and sealed gauge measurement modes.
Phone:+1-908-992-0564
Address:60 PAYA LEBAR ROAD, #11-53, PAYA LEBAR SQUARE, SINGAPORE 409051